Case study

ERG Above and Beyond Retinal Imaging

by Dr. Mohamed Ahmed Mostafa Eid, Minya University, Egypt

A 7-year-old child was referred to confirm a multiple sclerosis (MS) diagnosis following a brain scan. The patient complained of visual changes but identifying the cause was complex due to limited patient cooperation. We obtained color fundus and OCT images, both of which appeared to be normal. A flash visual evoked potential (VEP) test was conducted at another clinical site, but the outcome was unreadable. To either confirm or reject the suspicion of MS as the underlying cause for the visual complaints, a flash VEP and ERG ISCEV 5-Step protocol, using the RETeval® was requested.

Challenge100px
Challenge

Obtaining an accurate diagnosis

Eye100px
Diagnosis

Rod-cone dystrophy

CSNB 100px
Type of Assessment

Full ISCEV standard testing

Why was the ERG/VEP test performed?

To ascertain whether the visual complaints were linked to the suspected multiple sclerosis or if there was another cause. Due to inconclusive results from an earlier VEP, a comprehensive assessment using the RETeval device was recommended.

 

What were the ERG/VEP findings?

The ISCEV 5-step protocol was conducted to evaluate the cones and rods independently. Light-adapted test results showed values outside of normal limits, with some preserved dark-adapted results. This suggested cone-rod dystrophy.

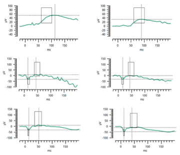
Dark-adapted test Light-adapted test
Dark-adapted test image Light-adapted test image

Since the patient tolerated the ISCEV 5-step test well, a repeated flash VEP test was also conducted, resulting in a clear and readable output. The test-retest outcomes for each eye were notably consistent. Similar results were observed when comparing the right and left eye, with slightly better throughput for the left eye. Both eyes exhibited a positive peak around 120ms and amplitudes below 40µV, indicating reasonable amplitudes. Overall, the VEP results do not suggest severe dysfunction of the optic nerve or brain activities.

 

How did ERG/VEP influence the patient’s care?

The comprehensive flash ERG/VEP tests indicated a cone/Cone-rod dystrophy with some preserved central vision. To affirm or dismiss the suspicion of multiple sclerosis, a pattern VEP is needed and has been ordered for future assessment. Additional testing regarding the rod-cone dystrophy may also be useful in guiding patient education and low vision management, as this can further refine the prognosis.

 

Conclusion

This case underscores the significance of incorporating user-friendly ERG testing into the diagnostic workup. By providing easy-to-interpret results, an accurate diagnosis was made. This likely prevents unnecessary treatments, while allowing for earlier implementation of low-vision support for the patient. With thoughtful counseling, the patient is poised to navigate the path to adulthood more effectively.

Learn more about the use of the RETeval ERG/VEP device in pediatrics:

Dr Eid
AUTHOR

Dr. Mohamed Ahmed Mostafa Eid

Minya University, Egypt

I’m an ophthalmology resident at Minia University and a fellow at the International Eye center (IEC) and in addition to my clinical work, I’m also deeply involved in research. I believe that continuous learning and exploration is key in the field of ophthalmology. This has led me to contribute to various research projects, particularly those focused on retinal diseases.

I’m passionate about education, which led me to co-found the International Educational Center for Ophthalmic Innovation (IECOI). Through this initiative, we aim to deliver high-quality education and training in ophthalmology to students and professionals worldwide.

I find great satisfaction in tackling challenging cases, as they provide unique learning opportunities and allow me to continuously improve my skills. I’m always eager to take on these cases and find the best possible solutions for my patients.